第十八届长三角气象科技论坛优秀报告

第十八届长三角气象科技论坛优秀报告,是经沪、苏、浙、皖气象学会从本届论坛收录的258篇论文中初评推荐和中国气象学会专家综合评审后,论坛组委会最终确定。优秀报告共计46篇,为历届最多,充分显示了长三角气象科技论坛收录论文的水平日益提升。本次优秀报告经征求作者本人意见后,在线上集中展示,供广大科研人员交流学习。(注:名称后加星号的论文将向《气象科学》期刊推荐。)

外部环境场对超强台风“苏迪罗”(2015)快速发展的影响
外部环境场对超强台风“苏迪罗”(2015)快速发展的影响

本报告利用NCEP提供的FNL全球格点资料等,对台风“苏迪罗”(2015)快速发展阶段的外部环境场进行分析,运用天气学诊断的方法讨论外部环境场对“苏迪罗”快速发展的影响。结果表明:(1) 在“苏迪罗”快速发展的过程中,其附近的海表温度均在29°C以上,为“苏迪罗”提供了足够的能量。(2) 在“苏迪罗”快速发展的过程中,持续时间长、强度强、范围广的西南季风为“苏迪罗”提供了充沛的水汽……

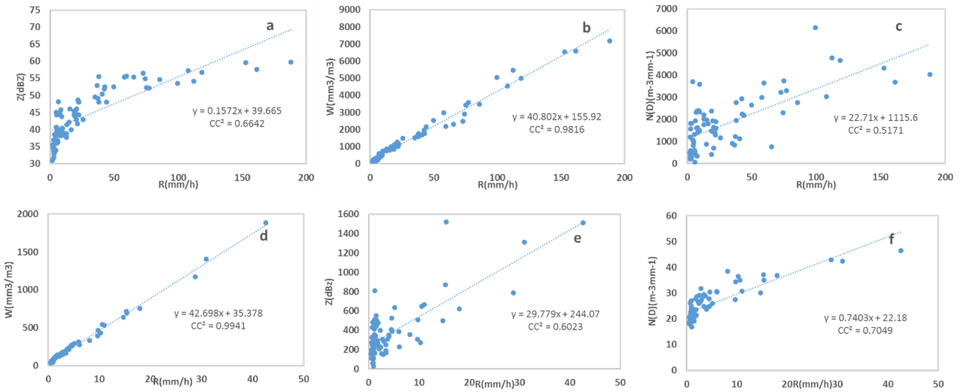
浦东不同降水类型的雨滴谱特征分析

雨滴谱包含了降雨的丰富信息,不仅能反映雨滴群的微物理特性,也能反映降雨类型、降雨强度等宏观特性。本报告针对2017年浦东不同降雨过程的雨滴谱资料进行了处理、并对多种雨滴参数进行了详细的统计和分析,拟合了不同降水类型的雨滴谱Gamma分布参数。结果表明:(1)层状云降水的雨滴谱分布以单峰型为主,混合云降水的雨滴谱分布以双峰型为主……

浦东不同降水类型的雨滴谱特征分析
安徽省一季稻高温热害致灾指标研究
安徽省一季稻高温热害致灾指标研究

报告以安徽省一季稻高温热害为研究对象,以《QX/T 228-2014区域性高温天气过程等级划分》为基础,按照自下而上、循序渐进的等级划分原则,通过分析气象数据、作物灾情记录等资料,建立了单站和区域一季稻高温热害致灾等级指标;该指标可以定量地描述不同区域级别的一季稻高温热害的影响程度,估计灾害造成的可能减产率,为水稻高温热害评估和产量预报提供科学依据。

1909号超强台风“利奇马”强降水特征诊断分析

报告介绍了超强台风利奇马(1909)于2019年8月10日凌晨登陆浙江,具有陆上滞留时间长、风雨强度大、北上影响范围广、暴雨极端性显著、灾害损失严重等特点。本文综合利用ERA-5逐小时的再分析格点资料和上海地区近200个自动气象监测站的逐小时雨量资料,开展台风“利奇马”暴雨的大尺度环境条件诊断,以期为区域台风降水客观、定量预报提供科学借鉴。

1909号超强台风“利奇马”强降水特征诊断分析
2011-2019年影响安徽致暴江淮气旋统计分析***
2011-2019年影响安徽致暴江淮气旋统计分析***

采用安徽国家基本站逐小时降水及欧洲ERA5再分析资料,统计分析了2011-2019年影响安徽致暴江淮气旋气候概况、雨区、路径及环流场特征。结果表明,影响安徽致暴江淮气旋多发生于湖北、湖南等地,约占同期总气旋数的18.9%,年均2.8次;降雨大值中心主要位于大别山南麓至皖南山区西南一带,高海拔山区尤其明显......

巢湖对周边城市热环境影响的模拟研究

应用WRF( weather research and forecasting)模式,耦合考虑室内外大气能量交换的多层城市冠层模式BEP+BEM(building effects parameterization and building energy model),对2016年7月24—26日巢湖地区的一次夏季高温过程进行模拟。结果表明:巢湖表面的日间气温较周围陆地低4~5 K......

巢湖对周边城市热环境影响的模拟研究
句容市近60年气候变化特征的统计分析
句容市近60年气候变化特征的统计分析

报告对句容市近60年气候变化特征进行了统计分析。分析结果表明,句容市年平均气温、年平均最高气温和年平均最低气温均呈现明显的波动上升趋势,21世纪后,由负距平转为正距平,上升趋势更加明显;四季的气温总体趋势均是上升的,并且上升情况相似,均为春季的增长最为显著,夏季的增长最不显著。降水量总体趋势呈微弱的波动增加,从20世纪60年代一直到90年代都为负距平,属于降水相对偏少时期……

基于积分球分光与接收的透射式能见度测量系统

介绍了一种新型透射式能见度测量系统,积分球在光源能量监控和光信号接收中起到重要作用。光源采用白色LED,外部高频脉冲调制,信号测量端同步解调,有效消除外界光干扰。积分球分光实时监控光源发射能量的变化,消除光源自身不稳定带来的误差。准直和扩束透镜组将光源发散角控制在1mrad。反射镜组反射光路实现了有限空间光程的增加,同时增加了采样体积,缩短了透射系统的安装基线......

基于积分球分光与接收的透射式能见度测量系统
浙江省智能网格OCF预报产品对黄岩气温预报能力的检验
浙江省智能网格OCF预报产品对黄岩气温预报能力的检验

本文通过计算2019年1月至12月浙江省智能网格OCF每日最高、最低气温格点预报数据与黄岩主要乡镇实况数据预报准确率、平均误差、平均绝对误差3种指标,对各站点数据分季节、不同地形以及不同天气过程做对比分析得出:低温预报明显优于高温预报;气温预报存在月季尺度上的差异;高海拔地区的预报能力明显弱于平原地带,城区预报能力最好,山区预报能力最差;冷空气和高温天气会分别将最低气温和最高气温误差放大,各站点差异同步放大。

台风Lekima(1909)登陆前后动热力结构变化对浙江极端降水的影响

报告利用NCEP FNL再分析资料、FY-2F卫星相当黑体亮温TBB资料、多普勒天气雷达资料等多种资料,分析了台风Lekima(2019)发展演变过程中的动热力结构变化与浙江极端强降水之间的关系,发现登陆前后环境水平风垂直切变维持较小值是主导台风Lekima(2019)高强度维持的重要原因。登陆前后台风低层东北侧(超)低空急流和中层的辐合线是此次浙江台风暴雨的关键点,业务中需密切关注登陆前后台风东北侧的低空急流的影响区域及其变化。此外,700hPa上非地转湿Q矢量散度场能较好指示未来1小时短时强降水的落区...

台风Lekima(1909)登陆前后动热力结构变化对浙江极端降水的影响